Evaluation of Some Sugar Beet Genotypes Under Drought Stress Based on Selection Indices
Abstract
This study was conducted to determine drought tolerant indices of some sugar beet genotypes under water stress and non-stress conditions. Nine sugar beet (Beta Vulgaris L.) genotypes were tested in a Split-plot experiment based on a randomized complete block design in three replications under three levels of water stress 100%, 75% and 50% from plant requirements at the experimental farm Faculty of Agriculture, Suez Canal University, Ismailia, Egypt during 2015/ 2016 and 2016 / 2017 seasons. Twelve drought tolerance indices were used in this study, stress sensitivity index (SSI), stress tolerance (TOL), mean productivity (MP), geometric mean (GMP), harmonic mean (HM),yield stability index (YSI), yield index (YI), stress tolerance index (STI), sensitivity drought index (SDI), relative drought index (RDI), drought response index (DI) and stress susceptibility percentage index (SSPI). GMP, MP and STI were more informative towards classification of better or superior genotypes with respect to tolerant and sensitive groups. The results showed that the genotypes with high STI, GMP and MP values were suitable for cultivation under drought stress and non-stress environments. Both Yp and Ys of root yield in the control-50% analysis had significantly positive correlated (P value<0.05) with MP, GMP, YI, HM and DI, This indicates that these indices were more effective in identifying high yielding genotypes under drought stress as well as non-stress conditions.Principal components analysis showed that the first two components in the control-50% analysis, genotype Bts 1237 and Temar were identified as the most stable high yielding genotypes in both environments
Author Contributions
Academic Editor: Abubaker Haroun Mohamed Adam, Department of Crop Science (Agronomy), College of Agriculture, Bahri University- Alkadaru- Khartoum -Sudan
Checked for plagiarism: Yes
Review by: Single-blind
Copyright © 2018 Salah A. Okasha, et al
This is an open-access article distributed under the terms of the Creative Commons Attribution License, which permits unrestricted use, distribution, and reproduction in any medium, provided the original author and source are credited.
Competing interests
The authors have declared that no competing interests exist.
Citation:
Introduction
Drought is a common phenomenon in warm and dry environment, and selection for drought tolerance is one way to reduce the effects of water stress on crop yield 1. The decrease in annual precipitation that is predicted for Northern African countries in the 21st century will exacerbate expected rising temperatures effects, particularly in semiarid and arid regions, that must be rely on irrigation for crop growth 2. Drought stress tolerance is a complex trait that is obstructed by low heritability and deficiency of successful selection approaches 3, 4. In many cases, increased irrigation inputs are not available option because of the water resources are less available or that they are too expensive. In a world limited by supplies of freshwater, the trend is towards great restrictions on agricultural water use 5. With increasing world's population, the situation is getting serious and the ambiguity of weather patterns poses a challenge against plant breeders trying to develop adaptable crop varieties.
Sugar beet is an important field crop in the agricultural system in Egypt and is considered an important sugar crop in the temperate region. In Egypt (semi –arid region) sugar beet planted beside sugar cane crop to provide people with sugar needs consumption which increased with increasing population density. The production of sugar beet of white sugar about 1.255 million tons, this equivalent about 50% from the local production 6. Sugar beet (Beta vulgaris L.) supplies about a quarter of the world’s white sugar demand 7. The shortage of water in Egypt in recent year is major limit to increase the planted area and increasing productivity at the same time. Moreover, some cultivated area might be suffered from this shortage of water. Sugar beet crop is sensitive to drought, especially in seedling stage 8.
Variation in plant response to drought genetically manipulated enhanced preliminary for improving the appearance of the plant and increased production of stress 9. There is little genotypic information on drought tolerance in sugar beet, and breeders are not equipped to make these selections. 10 measured drought sensitivity of each genotype as reduction in yield under drought stress, whilst the mentioned values are baffled with different yield potential of genotypes 11. However difference in yield potential could cause by factors related to adaptation rather than to drought tolerance by itself 12. Many studies used several drought indices to select stable genotypes according to their performance under favorable and stress conditions 13, 14, 15.
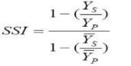
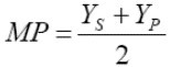
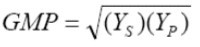
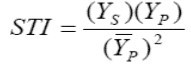
Accordingly, Stress tolerance (TOL) has been defined as the differences in yield between the stress (Ys) and non-stress (Yp) environments and mean productivity (MP) as the average yield of Ys and Yp 16. Geometric mean (GMP) 17, mean productivity (MP) 18, harmonic mean (HM) 19, stress sensitivity index (SSI) 20, yield stability index (YSI) 21, yield index (YI) 22, stress tolerance index (STI) 23, relative drought index (RDI) 24, drought response index (DI) and stress sensitivity percentage index (SSPI) 25. 26 In evaluation of drought resistance indices and their correlation with other traits concluded that there are differences among genotypes for many of these indices. Several selection criteria have been proposed to select genotypes based on their yield in stress and non-stress environment.
The purpose of this study was to i) evaluate several tolerance indices of the studied sugar beet genotypes under drought stress and identify of drought tolerant genotypes based on root yield. ii) Measure the strength of association between these indices and crop performance and interpret interrelationships among these indices by biplot analysis.
Materials and Methods
Nine sugar beet (Beta Vulgaris L.) genotypes i.e. Zobel (G1), Oscarpoly(G2), Diamund (G3), Gazelle (G4), Lp-0701 (G5), Bts 1237(G6), Temar (G7), Maximus (G8) and Helospoly (G9) were obtained from Sugar Crops Research Institute, Agricultural
Research Center, Giza, Egypt. Egypt depends on seeds imported from Germany, Denmark, Netherlands, France, and Sweden. So sugar beet seeds are not produced in Egypt due to its requirements of certain environmental conditions.
A set of nine sugar beet genotypes were grown at the Experimental Farm Faculty of Agriculture, Suez Canal University, Ismailia, Egypt during 2015/2016 and 2016/ 2017seasons under three levels of drought stress. Irrigation treatments were supplied by drip irrigation to provide the three water regimes. Irrigation were imposed using 100%, 75% and 50% of the amount of daily irrigation, that equivalent to 2019, 1514.25 and 1009.5 m3, respectively. Daily irrigation water requirements were calculated by CROPWAT software version 7.0 27 from agro-meteorological data of the studied area, Eto and Kc. The soil texture is sandy (97.65% sand, 1.51% silt and 0.84% clay) with 7.8 pH.
Split-plot experiment based on a randomized complete block design (RCBD) arrangement in three replications was used, where drought stress was assigned to main plots, and sugar beet genotypes were distributed in sub-plots. Combined analysis was conducted between the two growing seasons. Each plot consisted of 4 rows, 3 m in length, 0.60 m within rows and 0.25 m intra-row spacing and sowing took place on October 15th in the two seasons.
Drought Tolerance Indices
Twelve of drought tolerance indices for sugar beet were calculated for genotypes based on root yield using the following equations as shown in Table 1.
Table 1. List of drought tolerance indices used for evaluation of sugar beet genotypes to drought conditions| Drought tolerance indices | Equation | Reference | Outcome |
| 1-Stress Sensitivity Index (SSI) | ![]() |
28 | The genotypes with SSI<1 are more resistant to drought stress conditions |
| 2-Tolerance index (TOL) | ![]() |
29 | The genotypes with low values of this index are more stable in two different conditions. |
| 3-Mean Productivity(MP) | ![]() |
30 | The genotypes with high value of this index will be more desirable. |
| 4-Geometric Mean Productivity(GMP) | ![]() |
31 | The genotypes with high value of this index will be more desirable. |
| 5-Stress Tolerance Index (STI) | ![]() |
32 | The genotypes with high STI values will be tolerant to drought stress. |
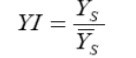
| 6-Yield Index (YI) | ![]() |
33 | The genotypes with high value of this index will be suitable for drought stress condition. |
| 7-Yield Stability Index (YSI) | ![]() |
34 | The genotypes with high YSI values can be regarded as stable genotypes under stress and non-stress conditions. |
| 8-Harmonic Mean (HM) | ![]() |
35 | The genotypes with high HM value will be more desirable. |
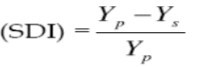
| 9-Sensitivity drought index SDI | ![]() |
36 | |
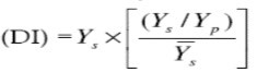
| 10-Drought resistance index (DI) | ![]() |
37 | |
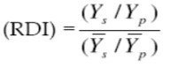
| 11-Relative drought index (RDI) | ![]() |
38 | |
| 12-Stress susce-ptibility percentage index (SSPI) | ![]() |
39 |
Correlation and Principal Component Analysis
Correlation analysis among drought tolerance indices was performed to determine the best drought-tolerant genotypes and indices. Principal component analysis (PCA) was performed based on the observations. Correlation analysis and principal component analysis (PCA), based on the rank correlation matrix and biplot analysis were performed by SPSS ver. 18, and Excel 2013/XLSTAT Version 2015.4.01.21575 (Copyright Addin soft 1995-2018).
Results and Discussion
Descriptive statistics of drought indices under 100% (favorable), 75% (moderate drought stress) and 50% (severe drought stress) of water stress are presented in (Table 2). Many studies 40, 41, 42, 43, 44,45 indicated that the studied tolerant indices were the most suitable parameters for screening drought-tolerant and high-yielding genotypes. The genotypes which gave high values of STI, MP and GMP can be considered tolerant to drought stress (Table 3).
Table 2. Descriptive statistics of drought indices for the 75% and 50% of water requirement analysis.| Drought Index | Moderate stress(75%) | Severe stress (50%) | ||||||
| Min. | Max. | Mean | SD | Min. | Max. | Mean | SD | |
| Yp‡ | 29.06 | 33.55 | 31.46 | 1.52 | 29.06 | 33.55 | 31.46 | 1.52 |
| Ys‡ | 24.39 | 30.37 | 27.52 | 2.17 | 18.70 | 26.27 | 21.20 | 2.35 |
| SSI‡ | 0.37 | 1.53 | 1.00 | 0.42 | 0.61 | 1.26 | 1.00 | 0.19 |
| TOL‡ | 1.44 | 6.26 | 3.95 | 1.66 | 6.53 | 13.22 | 10.26 | 2.07 |
| MP‡ | 24.47 | 29.53 | 29.49 | 1.69 | 27.07 | 31.59 | 26.33 | 1.68 |
| GMP‡ | 26.93 | 31.56 | 29.41 | 1.71 | 23.78 | 29.35 | 25.80 | 1.80 |
| STI‡ | 0.73 | 1.01 | 0.88 | 0.10 | 0.18 | 0.61 | 0.26 | 0.13 |
| YI‡ | 0.89 | 1.10 | 1.00 | 0.08 | 0.88 | 1.24 | 1.00 | 0.11 |
| YSI‡ | 0.81 | 0.95 | 0.87 | 0.05 | 0.59 | 0.80 | 0.67 | 0.06 |
| HM‡ | 26.80 | 31.54 | 29.33 | 1.74 | 23.11 | 29.17 | 25.28 | 1.93 |
| SDI‡ | 0.05 | 0.19 | 0.13 | 0.05 | 0.20 | 0.41 | 0.33 | 0.06 |
| DI‡ | 0.73 | 1.03 | 0.88 | 0.12 | 0.52 | 0.99 | 0.68 | 0.14 |
| RDI‡ | 0.92 | 1.09 | 1.00 | 0.06 | 0.87 | 1.19 | 1.00 | 0.09 |
| SSPI‡ | 2.30 | 9.94 | 6.27 | 2.64 | 10.38 | 21.00 | 16.31 | 3.28 |
| G1 | G2 | G3 | G4 | G5 | G6 | G7 | G8 | G9 | |
| Yp | 32.03 | 29.74 | 33.55 | 31.15 | 30.25 | 31.98 | 32.80 | 29.06 | 32.61 |
| Ys | 25.87 | 24.39 | 29.61 | 29.70 | 26.83 | 28.99 | 30.37 | 25.52 | 26.35 |
| 18.82 | 20.00 | 21.50 | 20.50 | 18.70 | 23.20 | 26.27 | 20.50 | 21.30 | |
| SSI | 1.53 | 1.43 | 0.94 | 0.37 | 0.90 | 0.74 | 0.59 | 0.97 | 1.53 |
| 1.26 | 1.00 | 1.10 | 1.05 | 1.17 | 0.84 | 0.61 | 0.90 | 1.06 | |
| TOL | 6.16 | 5.34 | 3.95 | 1.44 | 3.42 | 2.99 | 2.43 | 3.54 | 6.26 |
| 13.22 | 9.74 | 12.05 | 10.65 | 11.55 | 8.78 | 6.53 | 8.56 | 11.31 | |
| MP | 28.95 | 27.07 | 31.58 | 30.42 | 28.54 | 30.48 | 31.59 | 27.29 | 29.48 |
| 25.42 | 24.87 | 27.53 | 25.82 | 24.47 | 27.59 | 29.53 | 24.78 | 26.95 | |
| GMP | 28.79 | 26.93 | 31.52 | 30.42 | 28.49 | 30.44 | 31.56 | 27.23 | 29.31 |
| 24.55 | 24.39 | 26.86 | 25.27 | 23.78 | 27.24 | 29.35 | 24.41 | 26.35 | |
| STI | 0.84 | 0.73 | 1.00 | 0.93 | 0.82 | 0.94 | 1.01 | 0.75 | 0.87 |
| 0.61 | 0.19 | 0.23 | 0.21 | 0.18 | 0.24 | 0.28 | 0.19 | 0.23 | |
| YI | 0.94 | 0.89 | 1.08 | 1.08 | 0.98 | 1.05 | 1.10 | 0.93 | 0.96 |
| 0.89 | 0.94 | 1.01 | 0.97 | 0.88 | 1.09 | 1.24 | 0.97 | 1.00 | |
| YSI | 0.81 | 0.82 | 0.88 | 0.95 | 0.89 | 0.91 | 0.93 | 0.88 | 0.81 |
| 0.59 | 0.67 | 0.64 | 0.66 | 0.62 | 0.73 | 0.80 | 0.71 | 0.65 | |
| HM | 28.62 | 26.80 | 31.46 | 30.41 | 28.44 | 30.41 | 31.54 | 27.17 | 29.15 |
| 23.71 | 23.92 | 26.21 | 24.73 | 23.11 | 26.89 | 29.17 | 24.04 | 25.77 | |
| SDI | 0.19 | 0.18 | 0.12 | 0.05 | 0.11 | 0.09 | 0.07 | 0.12 | 0.19 |
| 0.41 | 0.33 | 0.36 | 0.34 | 0.38 | 0.27 | 0.20 | 0.29 | 0.35 | |
| DI | 0.76 | 0.73 | 0.95 | 1.03 | 0.86 | 0.96 | 1.02 | 0.81 | 0.77 |
| 0.52 | 0.63 | 0.65 | 0.64 | 0.55 | 0.79 | 0.99 | 0.68 | 0.66 | |
| RDI | 0.92 | 0.94 | 1.01 | 1.09 | 1.01 | 1.04 | 1.06 | 1.00 | 0.92 |
| 0.87 | 1.00 | 0.95 | 0.98 | 0.92 | 1.08 | 1.19 | 1.05 | 0.97 | |
| SSPI | 9.79 | 8.49 | 6.27 | 2.30 | 5.43 | 4.75 | 3.86 | 5.63 | 9.94 |
| 21.00 | 15.47 | 19.16 | 16.92 | 18.35 | 13.95 | 10.38 | 13.60 | 17.97 |
As shown in Table 3, at Moderate drought stressed (75% of water requirement), sugar beet genotypes G4, G7 and G6 exhibited the least TOL and SSI values, whereas the highest values of these indices were recorded by G9 followed by G1 and G2. The highest GMP, MP, STI values were recorded for the genotypes G7, G3, G6 and G4. Highest YSI and YI indices were recorded for sugar beet genotypes G7, G3, G4, G6 and G5.In terms of HM index, the highest values were observed in genotypes G7, G3, G4 and G6, whereas the G4 and G6 had the lowest value. Highest SDI indices were recorded for sugar beet genotypes G1, G9, and G2 whereas the lowest values were recorded in G4 followed by G7 and G6. According to DI index, all genotypes had values less than unity except G4 and G6. Based on relative drought index (RDI) six genotypes G3, G4, G5, G6, G7 and G5 had values more than the unite. Sugar beet genotypes G9, G1 and G2 exhibited the highest SSPI values, whereas the least values were recorded by G4 followed by G7 and G6 genotypes.
At the severe drought stress environment (50% of water requirement) as shown in Table 2, sugar beet genotypes G7, G6 and G8 showed the lowest SSI values and they were less than the unite, whereas G1, G5, G3, and G9 recorded the highest values. The lowest TOL was observed for G7 genotype followed by G8 and G6, but the highest TOL belonged to the G1 followed by G3 and G5 genotypes. Based on STI, G7 followed by G6, G3, and G9 gave the highest values and considered to be more desirable and tolerant genotypes, whereas the G5, G2, G8 and G1 genotypes with the lowest values for these terms were intolerant. These results indicated that the genotypes with high STI values usually have high difference in yield in different conditions. In general, similar ranks for the genotypes were observed by MP and GMP indices as well as STI, which suggested that these three indices were equal for selecting genotypes under water stress.
Highest YI and HM indices were recorded for sugar beet genotypes G7, G6, G3 and G9. In YSI terms of index, the highest values were observed in genotypes G7 followed by G6, whereas genotypes G1, G5 and G2 had the lowest values. Highest SDI values were recorded for sugar beet genotypes G1, G5, and G3, whereas the lowest values were recorded by G7 followed by G6 and G8. According to DI index, all genotypes gave values less than the unite. Based on the relative drought index (RDI) four genotypes G7, G6, G8 and G2 had values more than unity. Sugar beet genotypes G1, G3, and G5 exhibited the highest SSPI values, whereas the least values in this concern were recorded by G7 followed by G8 and G6. Therefore, these indices were able to identify the superior genotypes under drought stress. DSI, YSI, GMP and MP were correlated with yield under stress conditions, suggesting that these constructions are suitable for screening drought tolerant and high yielding treatments under drought stress conditions 46.
Correlation Analysis
To determine the most desirable drought tolerance criteria, the correlation coefficient between YP, YS and other quantitative drought tolerance indices in moderate and severe stressed conditions were calculated (Table 4,Table 5). There was a positive significant correlation between Yp and Ys (r=0. 50) and (r=0.65) in the severe stress (50%) and moderate stress conditions (75%), respectively (Table 4 and Table 5). This indicates that high root yield performance under favorable condition resulted in relatively high root yield under stress conditions.
Table 4. Correlation between drought tolerance indices (n=9) and root yield under severe drought stressed conditions (50%).| Yp | Ys | SSI | TOL | MP | GMP | STI | YI | YSI | HM | SDI | DI | RDI | |
| Ys | 0.50* | ||||||||||||
| SSI | -0.62 | -0.47 | |||||||||||
| TOL | 0.17 | -0.77* | 0.08 | ||||||||||
| MP | 0.80* | 0.92* | -0.61 | -0.46 | |||||||||
| GMP | 0.73* | 0.95* | -0.58 | -0.55 | 1.00* | ||||||||
| STI | 0.31* | -0.17 | -0.05 | 0.42 | 0.02 | -0.04 | |||||||
| YI | 0.50* | 1.00* | -0.47 | -0.77* | 0.92* | 0.95* | -0.17 | ||||||
| YSI | 0.07 | 0.90* | -0.21 | -0.97* | 0.66 | 0.73* | -0.36 | 0.90* | |||||
| HM | 0.67* | 0.98* | -0.55 | -0.61 | 0.98 | 1.00 | -0.08 | 0.98 | 0.78 | ||||
| SDI | -0.07 | -0.90* | 0.21 | 0.97* | -0.66* | -0.73* | 0.36 | -0.90* | -1.00* | -0.78 | |||
| DI | 0.32* | 0.98* | -0.38 | -0.88* | 0.83* | 0.88* | -0.23 | 0.98* | 0.97* | 0.91* | -0.97* | ||
| RDI | 0.07 | 0.90* | -0.21 | -0.97* | 0.66 | 0.73* | -0.36 | 0.90* | 1.00* | 0.78* | -1.00* | 0.97* | |
| SSPI | 0.17 | -0.77* | 0.08 | 1.00* | -0.46 | -0.55 | 0.42 | -0.77* | -0.97* | -0.61 | 0.97* | -0.88* | -0.97* |
| Yp | Ys | SSI | TOL | MP | GMP | STI | YI | YSI | HM | SDI | DI | RDI | |
| Ys | 0.65* | ||||||||||||
| SSI | -0.05 | -0.79* | |||||||||||
| TOL | 0.07 | -0.72* | 0.99* | ||||||||||
| MP | 0.87* | 0.94* | -0.54 | -0.43 | |||||||||
| GMP | 0.85* | 0.95* | -0.56 | -0.46 | 1.00* | ||||||||
| STI | 0.85* | 0.95* | -0.57 | -0.47 | 1.00* | 1.00* | |||||||
| YI | 0.65* | 1.00* | -0.79* | -0.72* | 0.94* | 0.95* | 0.95* | ||||||
| YSI | 0.05 | 0.79* | -1.00* | -0.99* | 0.54 | 0.56 | 0.57 | 0.79* | |||||
| HM | 0.84* | 0.96* | -0.59 | -0.49 | 1.00* | 1.00* | 1.00* | 0.96* | 0.59 | ||||
| SDI | -0.05 | -0.79* | 1.00* | 0.99* | -0.54 | -0.56 | -0.57 | -0.79 | -1.00 | -0.59 | |||
| DI | 0.41* | 0.96* | -0.93* | -0.88* | 0.81* | 0.83* | 0.83* | 0.96* | 0.93* | 0.84* | -0.93* | ||
| RDI | 0.05 | 0.79* | -1.00* | -0.99* | 0.54 | 0.56 | 0.57 | 0.79* | 1.00* | 0.59 | -1.00* | 0.93 | |
| SSPI | 0.07 | -0.72* | 0.99* | 1.00* | -0.43 | -0.46 | -0.47 | -0.72* | -0.99* | -0.49 | 0.99* | -0.88 | -0.99 |
Both Yp and Ys in the control-50% analysis (severe drought stress) have significantly positive correlation (P<0.05) with MP (r=0.80 and 0.92), GMP (r=0.73 and 0.95), YI (r=0. 50 and 1.00), HM (r=0.67 and 0.98) and DI (r=0.32 and 0.98), while the YSI and RDI had significantly positive correlation with Ys (r= 0.90 and 90). This indicates that these indices were more effective to identify high yielding genotypes under drought stress as well as non-stress conditions (Table 4). The correlation between Yp with TOL, YSI, SDI, RDI and SSP was negligible (r = 0.17, r = 0.07, r = -0.07, r = 0.07 and r = 0.17 respectively). On the other hand the correlation between Ys and either SSI, TOL. SDI and SSPI indices were significantly negative values with r = -0.47, r = - 0.77, r = -0.90 and r = -0.77, respectively.
The observed relationship between YP, MP, STI, YS, MP and STI are in consistent with those reported by 47 in sorghum and 48 in wheat crop. 49 Introduced STI, MP and GMP as the best indices for yield predicting. 50 Reported that GMP, MP STI indices were significantly positive correlation with stress on yield. 51 Mentioned that, the validity of selection index for screening genotypes for stress conditions depends on its good correlation with yield under normal and stressed wheat. Similarly, three indices (STI, GMP and MP) had the highest positive correlation coefficient with yields under normal and drought stress conditions and introduced as selection indices for post water stress tolerance in sorghum and wheat 52, 53 .
Principal Component Analysis( PCA)
The PCA showed that the first two components (PC1 and PC2) explained about % 77.206 and 99.980 of the total variance in moderate stress (75%) and 70.871and 91.304 for severe stress (50%) analyses (Table 6 and Table 7). Therefore, the bi-plot was drawn based on the first two components (Figure 1 and Figure 2).
Table 6. Principal component analysis for drought tolerance indices for the moderate stress (75%) analysis| PC | % of Variance | Cumulative percentage | Eigen Values | Yp | Ys | SSI | TOL | MP | GMP | STI | YI | YSI | HM | SDI | DI | RDI | SSPI |
| PC1 | 77.206 | 77.206 | 10.809 | 0.145 | 0.298 | -0.274 | -0.256 | 0.258 | 0.263 | 0.264 | 0.298 | 0.274 | 0.268 | -0.274 | 0.303 | 0.274 | -0.256 |
| PC2 | 22.774 | 99.980 | 3.188 | 0.492 | 0.113 | 0.243 | 0.301 | 0.295 | 0.280 | 0.278 | 0.113 | -0.243 | 0.266 | 0.243 | -0.042 | -0.243 | 0.301 |
| PC | % of Variance | Cumulative percentage | Eigen Values | Yp | Ys | SSI | TOL | MP | GMP | STI | YI | YSI | HM | SDI | DI | RDI | SSPI |
| PC1 | 70.871 | 70.871 | 9.922 | 0.121 | 0.315 | -0.137 | -0.269 | 0.273 | 0.288 | -0.080 | 0.315 | 0.301 | 0.298 | -0.301 | 0.316 | 0.301 | -0.269 |
| PC2 | 20.433 | 91.304 | 2.861 | -0.533 | -0.075 | 0.356 | -0.306 | -0.292 | -0.241 | -0.326 | -0.075 | 0.185 | -0.195 | -0.185 | 0.034 | 0.185 | -0.306 |
Figure 1.Biplot of the first two principal component axes for nine sugar beet genotypes for the severe stress conditions (control-50% analysis)
Figure 2.Biplot of the first two principal component axes for nine sugar beet genotypes for the Moderate stress conditions (control-75% analysis)
For the moderate stress (75%) analysis (Table 6), the PC1 explained 77.206% of the obtained variation with a positive correlation with all indices except SSI, TOL, SDI and SSPI. This component had a highly positive correlation (0.979) with the yield under the stress environment and mild correlation (0.478) with the yield under the non-stress environment. However, the PC2, which explained only 22.774% of the total variation had a positive correlation with all indices except YSI (-0.243), DI (-0.042) and RDI (-0.243) (Table 6), and this component was highly positive correlated (0.979) with Ys and positively correlated (0.478) with Yp.
In the severe stress conditions (50%) analysis (Table 7), the first PC1 explained 70.871% of the obtained variation , and had positive correlation with Yp (0.121), Ys (0.315), MP (0.273), GMP (0.288), YI (0.315), YSI (0.301), HM (0.298), DI (0.316) and RDI (0.301) indices. Thus, the first dimension can be named as the yield potential and drought tolerance. This component separates drought tolerant genotypes with high yield in both environments. The PC2 explained 20.433% of the total obtained variation, and showed high coordination with SSI (0.356), YSI (0.185), DI (0.034) and RDI (0.185) (Table 7). This component had negative correlation (-0.127) with yield under stress conditions (YS) thus it can be named drought sensitive dimension with high yield under non-stressed and low yield under stressed environment (Table 8). The relationships among the indices were graphically presented in biplots of the PC1 and PC2 (Figure 1 and Figure 2). Genotypes that possessed high PC1 and low PC2 values are more stable under both drought stress and favorable conditions (Golabadi et al. 2006) 54. Based on the first two components in the control-50% analysis, genotypes 6 and 7 were identified as the most stable high yielding genotypes in both environments. On the other hand, the genotypes 5, 8 and 2 were classified as drought-sensitive genotypes (Figure 1). In the control-75% analysis, the Genotypes 4 and 6 were more stable than the other genotypes; however, genotypes 1 and 9 were most sensitive (Figure 2).
Table 8. Correlations between variables and factors| Drought Index | Control-75% | Control-50% | ||
| PC1 | PC2 | PC1 | PC2 | |
| Yp | 0.478 | 0.878 | 0.380 | -0.902 |
| Ys | 0.979 | 0.201 | 0.991 | -0.127 |
| SSI | -0.901 | 0.434 | -0.432 | 0.602 |
| TOL | -0.843 | 0.537 | -0.848 | -0.517 |
| MP | 0.850 | 0.527 | 0.861 | -0.494 |
| GMP | 0.866 | 0.500 | 0.907 | -0.407 |
| STI | 0.868 | 0.496 | -0.251 | -0.551 |
| YI | 0.979 | 0.201 | 0.991 | -0.127 |
| YSI | 0.901 | -0.434 | 0.947 | 0.312 |
| HAM | 0.880 | 0.474 | 0.939 | -0.330 |
| SDI | -0.901 | 0.434 | -0.947 | -0.312 |
| DI | 0.997 | -0.075 | 0.995 | 0.058 |
| RDI | 0.901 | -0.434 | 0.947 | 0.312 |
| SSPI | -0.843 | 0.537 | -0.848 | -0.517 |
Stable genotypes under both favorable and drought conditions are vital for plant breeding programs in areas prone to drought stress. However, the level and time of drought stress events are not predictable; for this reason, it is better to evaluate sugar beet genotypes under various levels of drought stresses. Therefore, a genotype that shows low fluctuations of yield under various levels of drought stress conditions can be considered drought tolerant. Further, drought indices could be good indicators of genotypes stability.
In the present study, we found highly significant correlation between some indices, indicating that some of them measure similar aspects of drought tolerance. Farshadfar et al. (2012) 55 and Dehghani et al. (2009) 56 obtained similar results in multivariate analysis of drought tolerance in different crops. Yan et al., 200057, suggested using biplot, three-dimensional plots and cluster analysis as the most appropriate techniques for analysis the multi-location trials data, for identifying drought tolerant genotypes and for elucidating the relationships of drought tolerance attributes with yield in non-stress and stress conditions.
Conclusion
Selection of drought-tolerant genotypes should be well adapted to stress and non-stress conditions. Based on biplot analysis, the indices MP, GMP, YI, HM and DI exhibited strong correlation with YS and YP. Therefore, they can discriminate drought tolerant genotypes with high root yield at the same manner under stress and non-stress conditions. It can be recommended that genotypes 6 and 7 are promising to be cultivated under drought stress or drought prone areas in Egypt. Moderate drought stress environments were more favorable for screening drought-tolerant genotypes rather than severe drought stress environments. Therefore, plant breeders should pay attention to the severity of drought stress when selecting drought-tolerant sugar beet.
References
- 1.Sarmadniya G. (1993) Importance of environmental stress in agriculture. Congress of agronomy and plant breeding, Iran. College of Agriculture. , Tehran University
- 2.Radhouane L. (2013) Climate change impacts on North African countries and on some Tunisian economic sectors. , Journal of Agriculture and Environment for International Development 107, 101-31.
- 4.F M Kirigwi, VanGinkel M, Trethowan R, R G Sears, Rajaram S et al. (2004) Evaluation of selection strategies for wheat adaptation across water regimes. , Euphytica 135, 361-371.
- 5.Pimentel D, Houser J, Preiss E, White O, Fang H et al. (1998) . Water resources: agriculture, the environment and ethics.In: Lemon J.(eds.), Ecological Sustainability and Integrity, Kluwer,London 104-134.
- 6.Egyptian Society of Sugar Technologies and Sugar Crops Research institute (2014) The Thirty Three Conference.Cairo,January.
- 7.A P Draycott. (2006) Introduction In: “Sugar Beet”. , (Ed.):Draycott, A. P.Oxford,lackwellPublishingLtd, UK 1-8.
- 8.A D Caro, Cucci G. (1986) Four year experiment on spring-seeded sugar beet irrigation and harvest time in southern Italy. , Irrigation,33 3, 21-25.
- 9.D W Rains, Goyal S S. (2003) Strategies for managing crop production in saline environments: An overview. in Goyal SS, Sharma SK and Rains DW.Ramirez-Vallejo P, Kelly JD(1998). Traits , Euphytica 99, 127-136.
- 11.Ramirez P, J D Kelly. (1998) Traits related to drought resistance in common bean. , Euphytica 99, 127-136.
- 12.Golabadi M, Arzani A, Maibody S A M. (2006) Assessment of drought tolerance in segregating populations in durum wheat. , African Journal of Agriculture Research 5, 162-171.
- 13.Moosavi S S, Yazdi-Samadi B, M R Naghavi, Zali A A, Dashti H et al. (2008) Introduction of new indices to identify relative drought tolerance and resistance in wheat genotypes. , Desert 12, 165-178.
- 14.Farshadfar E, Mohammadi R, Farshadfar M, Dabiri S. (2013) Relationships and repeatability of drought tolerance indices in wheat-rye disomic addition lines. , Australian Journal of Crop Science 7, 130-138.
- 15.Mursalova J, Akparov Z, Ojaghi J, Eldarov M, Belen S et al. (2015) Evaluation of drought tolerance of winter bread wheat genotypes under drip irrigation and rain-fed conditions. , Turkish Journal of Agriculture and Forestry 39, 1-8.
- 16.Rosielle A A, Hamblin J. (1981) Theoretical aspects of selection for yield in stress and non-stress environment. , Crop Science 21, 943-946.
- 17.Fernandez G C J. (1992) Effective selection criteria for assessing stress tolerance. In: Kuo,C.G. (Ed.). Proceedings of the International Symposium on Adaptation of Vegetables and Other Food Crops in Temperature and Water Stress , Tainan, Taiwan .
- 18.Rosielle A A, Hamblin J. (1981) Theoretical aspects of selection for yield in stress and non-stress environment.CropScience 21, 943–94631. Kuo,C.G. (Ed.) Proceedings of the International Symposium on Adaptation of Vegetables and Other Food Crops in Temperature and Water Stress , Fernandez, G.C.J .
- 19.Jafari A, Paknejad F, Al-Ahmadi M. (2009) Evaluation of selection indices for drought tolerance of corn (ZeamaysL.) hybrids. , Int J Plant Product 3, 33-38.
- 20.R A Fischer, Maurer R. (1978) Drought resistance in spring wheat cultivars. I. Grain yield response. , Aust J Agric Res 29, 897-912.
- 21.Bouslama M, W T Schapaugh. (1984) Stress tolerance in soybean. Part 1: evaluation of three screening techniques for heat and drought tolerance. , Crop Sci 24, 933-937.
- 22.Gavuzzi P, Rizza F, Palumbo M, R G Campaline, G L Ricciardi et al. (1997) Evaluation of field and laboratory predictors of drought and heat tolerance in winter cereals. , Can J Plant Sci 77, 523-531.
- 23.Fernandez G C J. (1992) Effective selection criteria for assessing stress tolerance. In: Kuo,C.G. (Ed.). Proceedings of the International Symposium on Adaptation of Vegetables and Other Food Crops in Temperature and Water Stress , Tainan, Taiwan .
- 24.R A Fischer, Maurer R. (1978) Drought resistance in spring wheat cultivars. I. Grain yield response. , Aust J Agric Res 29, 897-912.
- 25.Moosavi S S, Yazdi-Samadi B, M R Naghavi, A, Dashti H et al. (2008) Introduction of new indices to identify relative drought tolerance and resistance in wheat genotypes. , Desert 12, 165-178.
- 26.Mohammadi R, Armion M, Kahrizi D, Amri A. (2010) Efficiency of screening techniques for evaluating durum wheat genotypes under mild drought conditions. , Journal of Plant Production 4, 11-24.
- 28.R A Fischer, Maurer R. (1978) Drought resistance in spring wheat cultivars. I. Grain yield response. , Aust J Agric Res 29, 897-912.
- 29.A, Hamblin J. (1981) Theoretical aspects of selection for yield in stress and non-stress environment. , Crop Science 21, 943-946.
- 30.Rosielle A A, Hamblin J. (1981) Theoretical aspects of selection for yield in stress and non-stress environment. , Crop Science 21, 943-946.
- 31.Fernandez G C J. (1992) Effective selection criteria for assessing stress tolerance. In: Kuo,C.G. (Ed.). Proceedings of the International Symposium on Adaptation of Vegetables and Other Food Crops in Temperature and Water Stress , Tainan, Taiwan .
- 32.Fernandez G C J. (1992) Effective selection criteria for assessing stress tolerance. In: Kuo,C.G. (Ed.). Proceedings of the International Symposium on Adaptation of Vegetables and Other Food Crops in Temperature and Water Stress , Tainan, Taiwan .
- 33.Gavuzzi P, Rizza F, Palumbo M, R G Campaline, G L Ricciardi et al. (1997) Evaluation of field and laboratory predictors of drought and heat tolerance in winter cereals. , Can J Plant Sci 77, 523-531.
- 34.Bouslama M, W T Schapaugh. (1984) Stress tolerance in soybean. Part 1: evaluation of three screening techniques for heat and drought tolerance. , Crop Sci 24, 933-937.
- 35.Jafari A, Paknejad F, Al-Ahmadi M. (2009) Evaluation of selection indices for drought tolerance of corn (ZeamaysL.) hybrids. , Int J Plant Product 3, 33-38.
- 36.Farshadfar E, Javadinia J. (2011) Evaluation of Chickpea (Cicer arietinum L.) genotypes for drought tolerance. , Seed and Plant Improvement Journal 27, 517-537.
- 37.Moosavi S S, Yazdi-Samadi B, M R Naghavi, Zali A A, Dashti H et al. (2008) Introduction of new indices to identify relative drought tolerance and resistance in wheat genotypes. , Desert 12, 165-178.
- 38.R A Fischer, Maurer R. (1978) Drought resistance in spring wheat cultivars. I. Grain yield response. , Aust J Agric Res 29, 897-912.
- 39.Moosavi S S, Yazdi-Samadi B, M R Naghavi, Zali A A, Dashti H et al. (2008) Introduction of new indices to identify relative drought tolerance and resistance in wheat genotypes. , Desert 12, 165-178.
- 40.Zeinali H, Izanlo A, Hosseinzadeh A, Majnoun H, N. (2004) Determine of appropriate drought resistance indices in imported soybean cultivars. , Iran Journal of Agricultural Science 354, 875-885.
- 41.Sio-Se Mardeh A, Ahmadi A, Poustini K, Mohammadi V. (2006) Evaluation of drought resistance indices under various environmental conditions. , Field Crops Res 98, 222-229.
- 42.Talebi R, Fayaz F, A M Naji. (2009) Effective selection criteria for assessing drought stress tolerance in durum wheat (Triticum durumDESF.). , General and Applied Plant Physiology 35, 64-74.
- 43.Sanjari-Pirevatlou A, Yazdansepas A. (2008) Evaluation of wheat (Triticum aestivum L.) Genotypes under Pre-and post -anthesis drought stress conditions. , Journal of Agricultural Science and Technology 10, 109-121.
- 44.Nouri A, Etminan A, Teixeira da Silva, A J, Mohammadi R. (2011) Assessment of yield, yield-related traits and drought tolerance of durum wheat genotypes (Triticumturjidumvar. durumDesf.). , Australian Journal of Crop Science 5, 8-16.
- 45.Mohammadi R, Armion M, Kahrizi D, Amri A. (2010) Efficiency of screening techniques for evaluating durum wheat genotypes under mild drought conditions. , Journal of Plant Production 4, 11-24.
- 46.Bayoumi T Y, EL-Mageed Abd, Ibrahim ES AM, Mahmoud S A, El-demardash I S. (2015) The impact of drought stress on some morpho-physiological traits and RAPD markers in wheat genotypes. Journal ofPlant Production Sciences; Suez Canal University,4 27-37.
- 47.Kharrazi M A S, Rad M R N. (2011) Evaluation of sorghum genotypes under drought stress conditions using some stress tolerance indices. , Afr J Biotechnol 10, 13086-13089.
- 48.Farshadfar E, Mohammadi R, Farshadfar M, Dabiri S. (2013) Relationships and repeatability of drought tolerance indices in wheat-rye disomic addition lines. , Australian Journal of Crop Science 7, 130-138.
- 49.B M Ebrahimzadeh, S M Ehteshami, Delkhosh H, Abdi B, Rohami M. (2012) Evaluation of drought tolerance indices and their relationship with grain yield of wheat genotypes. , J Basic Appl Sci Res 2(2), 1230-1232.
- 50.Dehghani G H, Malekshhi F, Alizadeh B. (2009) A study of drought tolerance indices in canola (BrassicanapusL.) genotypes. , Journal of Science and Technology of Agriculture and Natural Resources 13(48), 77-90.
- 51.Mohammadi R, Armion M, Kahrizi D, Amri A. (2010) Efficiency of screening techniques for evaluating durum wheat genotypes under mild drought conditions. , Journal of Plant Production 4, 11-24.
- 52.Rad M R N, Ghasemi A, Arjmandinejad A. (2009) Study of limit irrigation on yield of lentil (Lensculinaris) genotypes of national plant gene bank of Iran by drought resistance indices. , Amer Eur J Agric Environ Sci 6, 352-355.
- 53.Talebi R, Fayaz F, A M Naji. (2009) Effective selection criteria for assessing drought stress tolerance in durum wheat (Triticum durumDESF.). , General and Applied Plant Physiology 35, 64-74.
- 54.Golabadi M, Arzani A, Maibody S A M. (2006) Assessment of drought tolerance in segregating populations in durum wheat. , African Journal of Agriculture Research 5, 162-171.
- 55.Farshadfar E, Moradi Z, Elyasi P, Jamshidi B, Chaghakabodi R. (2012) Effective selection criteria for screening drought tolerant landraces of bread wheat (TriticumaestivumL.). , Annals of Biological Research 3(5), 2507-2516.
Cited by (10)
This article has been cited by 10 scholarly works according to:
Citing Articles:
Plant Signaling & Behavior (2023) OpenAlex
Wenbo Tan, Wangsheng Li, Jiajia Li, Dali Liu, Wang Xing - Plant Signalling & Behavior (2023) Semantic Scholar
Plant Signaling & Behavior (2023) Crossref
Egyptian Journal of Agricultural Research (2023) OpenAlex
Mohamed H. Mubarak, Fawkia M. Salim, A. Attaya - Egyptian Journal of Agricultural Research (2023) Semantic Scholar
Egyptian Journal of Agricultural Sciences /Egyptian Journal of Agricultural Sciences (2023) OpenAlex
Open Life Sciences (2022) OpenAlex
Manal S. Abdelhaleim, M. Rahimi, S. Okasha - Open Life Sciences (2022) Semantic Scholar
Open Life Sciences (2022) Crossref
Sinai Journal of Applied Sciences/Sinai Journal of Applied Sciences (2022) OpenAlex
Journal of Crop Science and Biotechnology (2020) OpenAlex
Amira Guellim, B. Hirel, O. Chabrerie, M. Catterou, T. Tétu et al. - Journal of Crop Science and Biotechnology (2020) Semantic Scholar
Journal of Crop Science and Biotechnology (2020) Crossref












